answer.
Ask question
Login Signup
Ask question
All categories
  • English
  • Mathematics
  • Social Studies
  • Business
  • History
  • Health
  • Geography
  • Biology
  • Physics
  • Chemistry
  • Computers and Technology
  • Arts
  • World Languages
  • Spanish
  • French
  • German
  • Advanced Placement (AP)
  • SAT
  • Medicine
  • Law
  • Engineering
nekit
1 month ago
10

Kate has a 20-square-foot plot of land in her backyard that she uses to grow tomatoes and lettuce. Every square foot of land can

produce either 5 tomatoes or 3 heads of lettuce each summer. Her neighbor, Jim, has a 30- square-foot plot of land that has a lot more shade than Kate's, which is better for lettuce but worse for tomatoes. Every square foot of Jim's land can produce either 3 tomatoes or 6 heads of lettuce.
a) How many tomatoes and heads of lettuce will Kate produce?
b) How many tomatoes and heads of lettuce will Jim produce?
Business
2 answers:
arsen [2.9K]1 month ago
4 0

Answer:

a) Kate will yield 100 tomatoes and no heads of lettuce.

b) Jim will yield 0 tomatoes and 180 heads of lettuce.

Explanation:

Due to better climatic conditions for growing tomatoes at Kate's plot, she should prioritize those for superior quality. Additionally, her lettuce yield per square foot is lower than Jim's (3 heads compared to his 6). This means Kate could cultivate 60 heads and Jim could produce 120 heads of lettuce on 20 square feet (double). Thus, she should skip lettuce cultivation due to both quality and quantity considerations.

The same reasoning applies to Jim's tomato production. If he grows tomatoes, he’ll only manage 60 at a 20-square-foot plot, in contrast to Kate's 100. Therefore, he should refrain from growing tomatoes.

Katen [2.9K]1 month ago
3 0

Response: dedserwgergeeq

Justification:

You might be interested in
Pattup Company makes 40,000 units per year of a part that it uses in the products it manufactures. The unit product cost of this
Katen [2907]
-$64000. The calculation of the net total occurs as follows: Direct material = $11.30, Direct labor = $22.70, Variable manufacturing overhead = $1.20, Fixed manufacturing overhead ($24.70 - $21.90) = $2.80. The total relevant cost is derived from the sum of the direct material, direct labor, variable manufacturing overhead, and fixed manufacturing overhead totaling $38.00. The total cost associated with manufacturing is derived from relevant cost per unit multiplied by the number of units plus the opportunity contribution margin lost, calculated to be $1,784,000. The overall cost for purchasing stands at $1,848,000. Thus, the net total equals the total cost of making minus the total cost of buying, amounting to -$64000.
4 0
18 days ago
Gadgetbug Inc. is known for its extremely efficient after-purchase service. None of Gadgetbug's competitors provide the same kin
marusya05 [3091]

Answer: Distinctive competence

Explanation: Distinctive competencies refer to specific attributes that uniquely differentiate a person, company, or organization from its competitors. These qualities make it challenging for consumers to swap these services for another, while competitors often find them hard to replicate. Such features typically foster success, enhance customer loyalty, and provide an advantage over rivals. This concept is termed distinctive competence, indicating services available only from one entity or very few. In the context provided, Gadgetbug demonstrates distinctive competence through its exceptional after-sale customer service, which competitors struggle to equal.

5 0
1 month ago
The firm initially produced 500 pants and 700 shirts. If the firm decides to increase the number of shirts by 100 units, the opp
Free_Kalibri [3151]
<span>If the business opts to raise shirt production by 100 units, the corresponding opportunity cost will be 200 pairs of pants. Should the firm be at point E and choose to boost shirt output by 500 units, the opportunity cost rises to 400 pairs of pants.</span>
4 0
1 month ago
Read 2 more answers
Which of the following statements about business processes is not true?Question 3 options:A) Business processes are a collection
Katen [2907]

Answer:

E.

Explanation:

An effective information system is crucial for business operations, aiding managers in making informed decisions to fulfill organizational objectives.

An organization can endure and prosper amid stiff competition based on a well-structured information system.

This system assists in making accurate decisions timely or just-in-time. Managers can leverage a robust information system even in atypical situations.

It’s perceived as a process and can be incorporated to devise a comprehensive action or operational strategy.

8 0
27 days ago
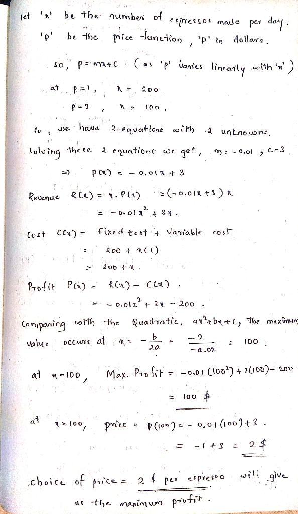
To produce espressos, a coffee shop has fixed costs of 200 dollars each day and variable costs of one dollar per espresso. The n
stepan [3001]

Response

The solution and methods for the problem are included in the upcoming image.

Clarification

Please take into account the information supplied by the task. If you have any inquiries, feel free to contact me again. All the problems are addressed on a single page with references to the formulas.

7 0
20 days ago
Other questions:
  • Kirk wants to get an FHA loan. Which of the following is Kirk himself not likely to do during the application process?
    7·1 answer
  • On Saturday, December 31, the company's owner provided ten hours of service to a customer. The company bills $100 per hour for s
    11·1 answer
  • The interest rate is 10% but the government offers you a subsidized perpetual loan for $1m at 5%. in other words, you get the $1
    6·1 answer
  • Wyatt Oil presently pays no dividend. You anticipate Wyatt Oil will pay an annual dividend of $0.56 per share two years from tod
    10·1 answer
  • ​laura and alan are a married couple with three small children. alan earns $60,000 a year, but laura has no earned income. what
    13·1 answer
  • A hot dog vendor sells an average of 50 hot dogs during a Little League baseball game. If the sales are Normally distributed wit
    8·1 answer
  • Sugarcane is vulnerable to the cane beetle, which can substantially reduce crop yields. Suppose that a new beetle‑resistant spec
    7·1 answer
  • A company's strategic weapon is any product, service, or other attribute it has that ________.
    10·2 answers
  • Josie recently took a job in the marketing department for Beachside Bagels and Bakery. After just a few days on the job, Josie l
    9·2 answers
  • Todd silver is the purchasing agent for moore co. one of his suppliers, gem co. offers todd a free vacation to france if he buys
    12·1 answer
Add answer
Login
Not registered? Fast signup
Signup
Login Signup
Ask question!