answer.
Ask question
Login Signup
Ask question
All categories
  • English
  • Mathematics
  • Social Studies
  • Business
  • History
  • Health
  • Geography
  • Biology
  • Physics
  • Chemistry
  • Computers and Technology
  • Arts
  • World Languages
  • Spanish
  • French
  • German
  • Advanced Placement (AP)
  • SAT
  • Medicine
  • Law
  • Engineering
storchak
21 day ago
6

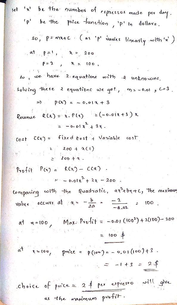
To produce espressos, a coffee shop has fixed costs of 200 dollars each day and variable costs of one dollar per espresso. The n

umber of espressos that the coffee shop sells on a given day depends linearly on the price of each espresso: If the price is $1.00, then they sell 200 espressos, and if the price is $2.00, then they sell 100 espressos. What is the choice of price that will maximize their profit?

Business
1 answer:
stepan [3K]21 day ago
7 0

Response

The solution and methods for the problem are included in the upcoming image.

Clarification

Please take into account the information supplied by the task. If you have any inquiries, feel free to contact me again. All the problems are addressed on a single page with references to the formulas.

You might be interested in
Like A Wrecking Ball is a demolition company. At the end of a project, they presented their client with an invoice for $18,000 a
arsen [3021]

Answer:

Explanation:

The journal entry is presented beneath:

Cash A/c $18,000

    To Service revenue A/c $18,000

(Accountable for the receipt)

In this transaction, we debit the cash account because cash has been received and credit the service revenue since the service has been performed. Both entries are made for the amount of $18,000 to ensure accurate recording.

6 0
23 days ago
Blake eats two bags of potato chips each day. Blake's hourly wage increases from $9 to $15, and he decides to stop eating generi
Mariulka [3209]

Answer:

-4 units

Explanation:

Applying the midpoint method, Blake's income elasticity of demand for generic potato chips is determined by multiplying the change in demand (D) by his average income (I), then dividing by the product of the change in income and average demand:

E=\frac{\Delta D}{\Delta I}*\frac{I_{avg}}{D_avg}\\E=\frac{0-2}{15-9}*\frac{\frac{9+15}{2}}{\frac{2+0}{2} }\\E=-4\ units

Thus, Blake's income elasticity of demand equals -4 units.

8 0
1 month ago
Gibson Energy Ltd.’s general ledger account for Cash in Bank showed the following at December 31, 2019:
Free_Kalibri [3195]

Answer:

1. Adjusted cash balance equals the adjusted balance from the bank statement, totaling $133,620.

2. Refer to the journal entries and details provided in section 2 below.

Explanation:

The data presented in the question has been compiled and organized in the attached Excel document prior to answering the questions as follows:

1. Complete the bank reconciliation for December 31, 2019.

The bank reconciliation is shown in two formats:

a) Based on cash book balance

Gibson Energy Ltd.

Bank Reconciliation  

as of December 31, 2019  

Details                                                                   Amount ($)    

Cash book balance at December 31 awaiting reconciliation         62,000

Add:

Note receivable collected from XYZ Corp                            80,000

Less:

Dishonored NSF check                                               (7,000)

Overdraft interest expense                                            (1,320)

Bank service charge                                                   (60)  

Adjusted cash balance as of December 31                             133,620  

b) Based on bank statement balance

Gibson Energy Ltd.

Bank Reconciliation  

as of December 31, 2019  

Details                                                                       Amount ($)    

Bank statement balance at December 31 awaiting reconciliation          131,620

Add:  

Cash deposited on December 9 yet to be recognized          85,000

Cash deposited on December 31 yet to be recognized            15,000

Check #52094 issued in error                                      62,000

Less:

Outstanding checks 233                                                    (83,000)

Outstanding checks 239                                                    (77,000)  

Adjusted bank statement balance as of December 31                 133,620  

2. Document the journal entries needed to align the Cash in Bank account with the adjusted cash balance on the December 31 bank reconciliation, including explanations.

Date      Account Title & Description              DR ($)           CR ($)  

31 Dec 19    Cash                                                80,000  

                   Note Receivable                                                     78,049

                   Interest on Note Receivable                                       1,951

                  (To record note receivable & interest collected from XYZ)    

31 Dec 19   Overdraft interest expense                1,320

                  Service charge                                        60

                  Cash                                                                           1,380

                   (To record interest expense and bank charges)                  

31 Dec 19   Accounts Receivable                           7,000

                    Cash                                                                           7,000

                  (To record NSF check that was dishonored)                                      

Download xlsx
3 0
1 month ago
Granite State Airlines serves the route between New York and Portsmouth, NH, with a single-flight-daily 100-seat aircraft. The o
stepan [3027]

Answer:

The data indicates: One flight has a total of 100 seats.

Full fare passengers, ticket cost=$150, average=56 passengers, SD=23.

Discount fare passengers, ticket cost=$100, average=88 passengers, SD=44.

(a) The question suggests optimizing total revenue per flight (one way) by potentially only taking full fare passengers, which would yield $15,000. However, historical probabilities show an average of 56 with a standard deviation of 23, thus in an ideal scenario, total full fare passengers could reach 79. That would allocate 21 tickets for discount passengers, leading to total revenues of $13,950.

(b) Now with the new constrained policy, specific seat allocations for both categories are set—44 for discount (resulting in total revenues of 44*100) and 56 for full fare (resulting in total revenues of 56*150)—both within the previously mentioned probabilities. The total revenue in this case will be 44*100+56*150 = $12,800.

(c) The difference in excess revenues between both scenarios for optimal total revenues and limited seats policy is calculated as answer (a) - answer (b) = $13,950 - $12,800 = $1,150.

(d) Realistically, this question cannot be properly answered without a clear confidence interval. Another simplifying assumption is to take the mean number of passengers as expected bookings (which can later be adjusted with provided confidence intervals). The total revenues in this scenario will come from 44*100 from discount and 56*150 from full fare passengers. This remains similar to answer (c) due to the assumption of no constraints, so optimal bookings might total 54 full fare tickets and 44 discount tickets. Worst case scenarios could involve subtracting SD from each passenger type’s mean, or for better scenarios, add SD of full fare passengers to the mean and allocate remaining seats for discount fare in order to maximize revenue.

6 0
1 month ago
Read 2 more answers
Suppose Nicholas owns a business making Christmas tree ornaments. Currently, he makes 300 ornaments a month. At this level of pr
stepan [3027]

Solution and Explanation:

1. MC = Cost of raw materials + Labor cost

MC = 5 plus (10 divide by 2)

MC = $10

2.  TFC = $300

Q = 300,  AFC = TFC/Q = 300 divide by 300 = $1

3.  Nicholas's optimum output is likely to be greater

Rationale: P = MR = $15, MC = $10

With MR exceeding MC, increasing output is advisable until MR equals MC to maximize profits.

4.  His profit-maximizing output would likely increase

Reason: P = MR = $15, MC = $4 + $5 = $9

Since MR > MC, Nicholas should amplify his output until they are equated at the profit-maximizing point.

3 0
1 month ago
Other questions:
  • Langston knows he can make a car payment of $400 per month for the next 5 years. What is the maximum amount he can finance witho
    8·1 answer
  • Bosio Inc.'s perpetual preferred stock sells for $102.50 per share, and it pays an $8.50 annual dividend. If the company were to
    6·1 answer
  • Karan works at a shoe store where the latest trends in shoes are displayed. Down the road from his store, two more stores opened
    8·2 answers
  • A foundation was endowed with $15,000,000 in July 2010. In July 2014, $5,000,000 was expended for facilities, and it was decided
    10·1 answer
  • Elkhorn Company purchased merchandise on account from Springhill Company for $42,000, terms 2/10, n/30. Elkhorn returned merchan
    9·1 answer
  • One change that seth mentions is the plantbottle. another is using grape juice instead of sugar to sweeten drinks. what is true
    14·1 answer
  • Dominik Corporation purchased a machine 5 years ago for $527,000 when it launched product M08Y. Unfortunately, this machine has
    10·1 answer
  • A pizza company produces frozen pizzas in three departments: assembly, freezing, and packaging. In assembly, crust ingredient ar
    12·1 answer
  • Chillco Corporation produces containers of frozen food. During April, Chillco produced 765 cases of food and incurred the follow
    6·1 answer
  • Farmer john can produce as much corn as he wants at the going price of $48 per bushel. at his current production level, the marg
    7·1 answer
Add answer
Login
Not registered? Fast signup
Signup
Login Signup
Ask question!