answer.
Ask question
Login Signup
Ask question
All categories
  • English
  • Mathematics
  • Social Studies
  • Business
  • History
  • Health
  • Geography
  • Biology
  • Physics
  • Chemistry
  • Computers and Technology
  • Arts
  • World Languages
  • Spanish
  • French
  • German
  • Advanced Placement (AP)
  • SAT
  • Medicine
  • Law
  • Engineering
IgorC
17 days ago
11

Select the qualification that is best demonstrated in each example.

Engineering
2 answers:
Daniel [329]17 days ago
7 0
Identify the qualification most effectively showcased in each instance. For example, Rebecca, the plumber instructing an apprentice, demonstrates leadership and mentoring qualities; Janet, the construction manager planning a budget, illustrates financial acumen; Dennis, the carpenter working independently, exemplifies self-reliance.
Kisachek [356]17 days ago
4 0
What options are available for the answer, excluding A, B, or C?
You might be interested in
. A storm sewer is carrying snow melt containing 1.200 g/L of sodium chloride into a small stream. The stream has a naturally oc
Kisachek [356]

Answer:

Explanation:

In a steady-state condition, the total volume exiting matches the total volume entering, and

the total amount of salt entering equals the total amount of salt exiting.

The volume entering each minute is = 2000 + 2 x 10³ x 60

= 122000 L.

The total salt entering per minute = 1200 x 2000 + 20 x 2 x 10³ x 60

= 2400000 + 2400000 mg

= 4800000 mg.

The volume of water exiting each minute = 122000 L.

The total salt exiting each minute = 4800000 mg.

The concentration of salt in the exiting water = 4800000 / 122000

= 39.344 mg / L.

3 0
1 month ago
2.31 LAB: Simple statistics Part 1 Given 4 integers, output their product and their average, using integer arithmetic. Ex: If th
iogann1982 [368]

Answer:

Explanation:

Un dato importante: la división entera elimina la parte fraccionaria. Por lo tanto, el promedio de 8, 10, 5 y 4 se presenta como 6, no 6.75.

Observación: Las pruebas incluyen cuatro valores de entrada muy grandes cuyo producto causa desbordamiento. No necesitas hacer nada especial, solo ten en cuenta que la salida no representa el producto correcto (en realidad, el resultado de cuatro números positivos es negativo; sorprendente).

Envía lo anterior para evaluación. Tu programa no pasará las últimas pruebas (eso es normal) hasta que completes la segunda parte a continuación.

Parte 2: Además, se debe calcular e imprimir el producto y promedio usando aritmética de punto flotante.

Presenta cada número de punto flotante con tres dígitos después del punto decimal, lo cual puedes hacer así: System.out.printf("%.3f", tuValor);

Ejemplo: Si la entrada es 8, 10, 5, 4, la salida sería:

import java.util.Scanner;

public class LabProgram {

public static void main(String[] args) {

Scanner scnr = new Scanner(System.in);

int num1;

int num2;

int num3;

int num4;

num1 = scnr.nextInt();

num2 = scnr.nextInt();

num3 = scnr.nextInt();

num4 = scnr.nextInt();

double average_arith = (num1 + num2 + num3 + num4) / 4.0;

double product_arith = num1 * num2 * num3 * num4;

int result1 = (int) average_arith;

int result2 = (int) product_arith;

System.out.printf("%d %d\n", result2, result1);

System.out.printf("%.3f %.3f\n", product_arith, average_arith);

}

}

Expected output: 1600.000 6.750

5 0
1 month ago
Read 2 more answers
Explain how collecting mean values (X-bar) from samples drawn from a dataset, regardless of the statistical distribution of the
Kisachek [356]

Answer:

The response is presented below

Explanation:

Central Limit Theorem: The CLT is a statistical principle asserting that if a sample size is sufficiently large and shows minimal variation from the population, the average of all samples will approximate the mean of that population. Furthermore, all distributions can be modeled as nearly normal.

This principle is illustrated by the central limit theorem. Specifically, if we gather independent random samples of size n from any kind of population, a large n will yield a sample distribution that aligns with a normal distribution pattern.

mean of the sample means

                    \mu _\bar x = \mu.............1

while the standard deviation of the sample means is

                      \mu _\bar x = \frac{\sigma }{\sqrt{n}}.........2

and This theory has findings applicable elsewhere in statistical studies. Although it may initially seem theoretical and lacking real-world utility, the Central Limit Theorem is crucial for applying statistics effectively in practice.

8 0
18 days ago
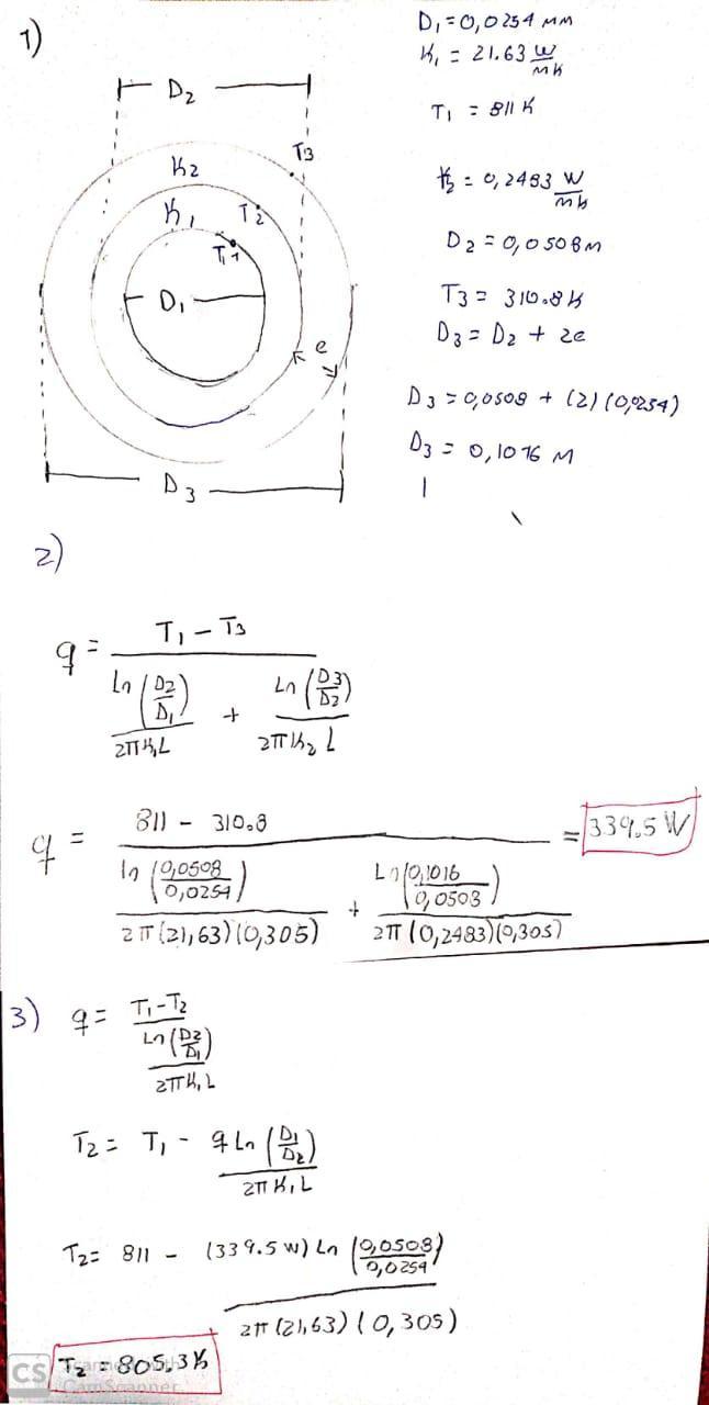
A thick-walled tube of stainless steel having a k = 21.63 W/m∙K with dimensions of 0.0254 m ID and 0.0508 m OD is covered with 0
Kisachek [356]

Response:

Q=339.5W

T2=805.3K

Clarification:

Hello!

To tackle this issue, adhere to the following steps, and refer to the image for guidance.

1. Outline the problem thoroughly.

2. To determine heat, derive the heat transfer equation for cylinders transitioning from the interior of the metal tube to the exterior of the insulation.

3. After calculating the heat, establish the heat transfer equation for cylinders moving from the metal tube's inner section to its outer part, then solve for the temperature.

4 0
1 month ago
A group of statisticians at a local college has asked you to create a set of functions that compute the median and mode of a set
Daniel [329]

Answer:

Functions designed to determine the median and mode from a collection of numbers

Explanation:

def median(numbers):

   if not numbers:

       return 0

   numbers.sort()

   middle_idx = len(numbers) / 2

   if len(numbers) % 2 == 1:

       return numbers[middle_idx]

   else:

       return (numbers[middle_idx] + numbers[middle_idx - 1]) / 2

def mean(numbers):

   if not numbers:

       return 0

   numbers.sort()

   total_sum = 0

   for num in numbers:

       total_sum += num

   return total_sum / len(numbers)

def mode(numbers):

   frequency_dict = {}

   for value in numbers:

       curr_value = frequency_dict.get(value, None)

       if curr_value is None:

           frequency_dict[value] = 1

       else:

           frequency_dict[value] = curr_value + 1

   highest_freq = max(frequency_dict.values())

   mode_values = []

   for key in frequency_dict:

       if frequency_dict[key] == highest_freq:

           mode_values.append(key)

   return mode_values

def main():

   print("Mean of [1, 2, 3, 4, 5, 6, 7, 8, 9, 10]: ", mean(range(1, 11)))

   print("Mode of [1, 1, 1, 1, 4, 4]:", mode([1, 1, 1, 1, 4, 4]))

   print("Median of [1, 2, 3, 4]:", median([1, 2, 3, 4]))

main()

3 0
1 month ago
Read 2 more answers
Other questions:
  • Who play 1v1 lol unblocked games 76
    8·2 answers
  • A shopaholic has to buy a pair of jeans , a pair of shoes l,a skirt and a top with budgeted dollar.Given the quantity of each pr
    7·1 answer
  • Two streams flow into a 500.0-gallon tank. The first stream is 10.0 wt % ethanol and 90.0 wt% hexane (mixture density is rho1 0.
    15·1 answer
  • A certain full-wave rectifier has a peak output voltage of 30 V. A 50 mF capacitor-input filter is connected to the rectifier. C
    6·1 answer
  • A 90-hp (shaft output) electric car is powered by an electric motor mounted in the engine compartment. If the motor has an avera
    8·1 answer
  • 6. You are evaluating flow through an airway. The current flow rate is 10 liters per minute with a fixed driving pressure (P1) o
    5·1 answer
  • An air duct heater consists of an aligned array of electrical heating elements in which the longitudinal and transverse pitches
    5·1 answer
  • A solid circular shaft has a uniform diameter of 5 cm and is 4 m long. At its midpoint 65 hp is delivered to the shaft by means
    12·1 answer
  • Michelle is the general manager of a power plant. This morning, she will meet with city officials to discuss environmental issue
    5·1 answer
  • 11 Notează, în caiet, trăsăturile personajelor ce se pot
    13·1 answer
Add answer
Login
Not registered? Fast signup
Signup
Login Signup
Ask question!