answer.
Ask question
Login Signup
Ask question
All categories
  • English
  • Mathematics
  • Social Studies
  • Business
  • History
  • Health
  • Geography
  • Biology
  • Physics
  • Chemistry
  • Computers and Technology
  • Arts
  • World Languages
  • Spanish
  • French
  • German
  • Advanced Placement (AP)
  • SAT
  • Medicine
  • Law
  • Engineering
Salsk061
14 days ago
9

A sequential circuit has two inputs, w1and w2, and an output, z. Its function is to compare the input sequences on the two input

s. If w1= w2 during any three consecutive clock cycles, the circuit produces z= 1; otherwise, z= 0. The output should be equal to 1 in the same clock cycle when the third occurrence of w1= w2 is detected.

Engineering
1 answer:
Mrrafil [318]14 days ago
5 0

Answer / Explanation

The question provided is lacking in details. It can be searched for online. However, please see the complete question below:

A sequential circuit incorporates two inputs, w1 and w2, and an output z. Its function is to compare the input sequences of both inputs. If w1 equals w2 for any four consecutive clock cycles, the circuit outputs z=1; otherwise, z=0.

For example: w1:0110111000110

w2:1110101000111

z:0000100001110

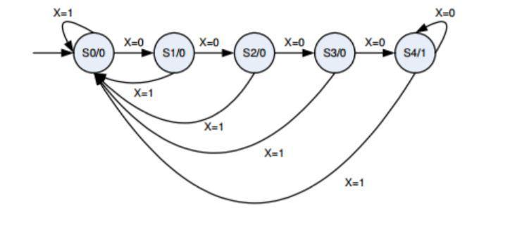
Please illustrate the state diagram using the minimum number of states.

Answer:

To accurately address this inquiry, we first need to clarify what a sequential circuit is and how input sequences function.

To begin with, a sequential circuit

is identified as a specific type of system used in the digital field, particularly crucial in digital circuit theory. It is structured in such a way that its output depends not only on the present input signal values but also on the sequence of one or more past inputs and outputs that are relevant.

Input sequence:

This references the ordered pattern in which data values are inputted into the circuit.

Revisiting the question, we note that for scoring each state:

+1 for each accurate transition = 2 total per state

+2 for each correct output = 2 total per state

Total for each state = 4

Therefore, the maximum score is 4*5 = 20

Consequently,

If over 5 states are implemented but the logic remains sound: +10 for the entire response

Full credits for any alternative solution utilizing 5 states.

Additionally, it is important to note that input labeled as (w1 = w2), (w1 == w2), (w1 XOR w2), 00, 11, etc., are also acceptable

It is worth mentioning that the presented solution employs more machinery. One can also utilize a Mealy machine, where only 4 states suffice. Even with 5 states, no points will be deducted.

In summary,  X = w1 XOR w2

The required diagram for a clearer understanding of the question is provided below.

You might be interested in
A distância entre duas retas reversas é a medida de um segmento orientado que *?
alex41 [359]
Fatec – SP) Let A be a point on line r, which is contained within plane α. It holds true that: a) there is exactly one line that is perpendicular to line r at point A. b) there exists one unique line, not lying in plane α, that is parallel to line r. c) there are infinitely many distinct planes that are parallel to plane α and contain line r. d) there are infinitely many distinct planes that are perpendicular to plane α and contain line r. e) there are countless distinct lines contained within plane α that are parallel to line r.
8 0
7 days ago
Steam flows at steady state through a converging, insulated nozzle, 25 cm long and with an inlet diameter of 5 cm. At the nozzle
iogann1982 [368]

Answer:

The velocity at exit U_2 is 578.359 m/s

The exit diameter d_e is 1.4924 cm

Explanation:

Provided data includes:

Length of the nozzle L = 25 cm

Inlet diameter d_i = 5 cm

At the nozzle entrance (state 1): Temperature T_1 = 325 °C, Pressure P_1 = 700 kPa, Velocity U_1 = 30 m/s, Enthalpy H_1 = 3112.5 kJ/kg, Volume V_1 = 388.61 cm³/gAt the nozzle exit (state 2): Temperature T_2 = 250 °C, Pressure P_2 = 350 kPa, Velocity U_2, Enthalpy H_2 = 2945.7 kJ/kg, Volume V_2 = 667.75 cm³/g To determine:a. Exit Velocity U_2b. Exit Diameter d_e

a.The Energy Equation can be represented by:ΔH + ΔU² / 2 + gΔz = Q + WAssuming Q = W = Δz = 0Substituting the values yields:

(H_2 - H_1) + (U²_2 - U²_1)  / 2 = 0From which we can derive U_2 = sqrt((2* (H_1 - H_2 )) + U²_1) with the calculations leading to U_2 = sqrt ( 2 * 10^3 * (3112.5 -2945.7) + 900) yielding U_2 = 578.359 m/s

b.

Using mass balance approach, we have U_1 * A_1 / V_1 = U_2 * A_2 / V_2

Here, A = π*d² / 4

This leads to U_1 * d_i² / V_1 = U_2 * d_e² / V_2, thus d_e = d_i * sqrt((U_1 / U_2) * (V_2 / V_1)). Hence, d_e = 5 * sqrt((30 / 578.359) * (667.75 / 388.61)) computes to d_e = 1.4924 cm

6 0
25 days ago
What is the magnitude of the maximum stress that exists at the tip of an internal crack having a radius of curvature of 3 × 10-4
Kisachek [356]
The maximum stress at the tip of the internal crack is calculated as 2872.28 MPa. Explanation: Details provided include the curvature radius of 3 × 10^-4 mm, a crack length of 5.5 × 10^-2 mm, and an applied tensile stress of 150 MPa. The equation used determines maximum stress based on these inputs.
8 0
19 days ago
Compute the sum with carry-wraparound (sometimes called the one's complement sum) of the following two numbers. Give answer in 8
grin007 [323]

Response:

00100111

Explanation:

We have been given;

10010110

10010000

Add them following standard binary addition rules

10010110

10010000

-------------

(1)00100110

-------------

ignore the leading (1) because it is a carry.

Increase the result by 1 to achieve a 1's complement sum

00100110 + 1 = 00100111

Final Result: 00100111

3 0
1 month ago
A hydraulic cylinder is to be used to move a workpiece in a manufacturing operation through a distance of 50 mm in 10 s. A force
Viktor [391]

Response:

The solution to this question is 1273885.3 ∅

Clarification:

The first step is to ascertain the required hydraulic flow rate liquid based on the working pressure if a cylinder with a piston diameter of 100 mm is utilized.

Given that,

The distance = 50mm

The time t =10 seconds

The force F = 10kN

The piston diameter = 100mm

The pressure = F/A

10 * 10^3/Δ/Δ

P = 1273885.3503 pa

Subsequently

Power = work/time = Force * distance /time

= 10 * 1000 * 0.050/10

which amounts to =50 watt

Power =∅ΔP

50 = 1273885.3 ∅

5 0
13 days ago
Other questions:
  • Gold and silver rings can receive an arc and turn molten. True or False
    12·2 answers
  • Write multiple if statements. If car_year is 1969 or earlier, print "Few safety features." If 1970 or later, print "Probably has
    12·1 answer
  • Current density is given in cylindrical coordinates as J = −106z1.5az A/m2 in the region 0 ≤ rho ≤ 20 µm; for rho ≥ 20 µm, J = 0
    13·1 answer
  • A tank contains initially 2500 liters of 50% solution. Water enters the tank at the rate of 25 iters per minute and the solution
    13·1 answer
  • Soap is a very interesting chemical. We even discussed it on the discussion board. How does it work, exactly?
    7·1 answer
  • 1. A four-lane freeway (two lanes in each direction) is located on rolling terrain and has 12-ft lanes, no lateral obstructions
    7·1 answer
  • At what forward voltage does a diode conduct a current equal to 10,000 Is ? In terms of Is , what current flows in the same diod
    14·1 answer
  • A murder in a downtown office building has been widely publicized. You’re a police detective and receive a phone call from a dig
    9·2 answers
  • Subroutines in MIPS Determines the minimum of two integers Functions within the MIPS slides describe how one can use subroutines
    14·1 answer
  • The water level in a large tank is maintained at height H above the surrounding level terrain. A rounded nozzle placed in the si
    9·1 answer
Add answer
Login
Not registered? Fast signup
Signup
Login Signup
Ask question!