answer.
Ask question
Login Signup
Ask question
All categories
  • English
  • Mathematics
  • Social Studies
  • Business
  • History
  • Health
  • Geography
  • Biology
  • Physics
  • Chemistry
  • Computers and Technology
  • Arts
  • World Languages
  • Spanish
  • French
  • German
  • Advanced Placement (AP)
  • SAT
  • Medicine
  • Law
  • Engineering
Triss
14 days ago
13

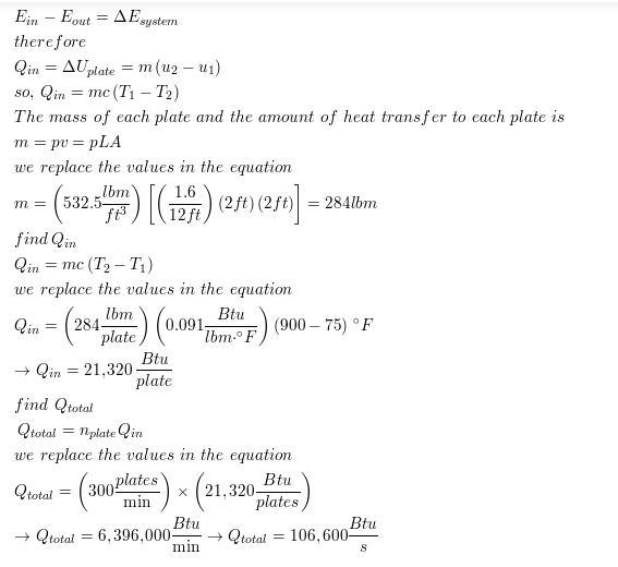
In a production facility, 1.6-in-thick 2-ft × 2-ft square brass plates (rho = 532.5 lbm/ft3 and cp = 0.091 Btu/lbm·°F) that are

initially at a uniform temperature of 75°F are heated by passing them through an oven at 1500°F at a rate of 340 per minute. If the plates remain in the oven until their average temperature rises to 900°F, determine the rate of heat transfer to the plates in the furnace.

Engineering
1 answer:
iogann1982 [368]14 days ago
8 0
The heat transfer rate to the plates is 106600 btu/s.
You might be interested in
Design a digital integrator using the impulse invariance method. Find and give a rough sketch of the amplitude response, and com
mote1985 [299]
50 μsec.
8 0
14 days ago
An open vat in a food processing plant contains 500 L of water at 20°C and atmospheric pressure. If the water is heated to 80°C,
Mrrafil [318]

Answer:

Volume change percentage is 2.60%

Water level increase is 4.138 mm

Explanation:

Provided data

Water volume V = 500 L

Initial temperature T1 = 20°C

Final temperature T2 = 80°C

Diameter of the vat = 2 m

Objective

We aim to determine percentage change in volume and the rise in water level.

Solution

We will apply the bulk modulus equation, which relates the change in pressure to the change in volume.

It can similarly relate to density changes.

Thus,

E = -\frac{dp}{dV/V}................1

And -\frac{dV}{V} = \frac{d\rho}{\rho}............2

Here, ρ denotes density. The density at 20°C = 998 kg/m³.

The density at 80°C = 972 kg/m³.

Plugging in these values into equation 2 gives

-\frac{dV}{V} = \frac{d\rho}{\rho}

-\frac{dV}{500*10^{-3} } = \frac{972-998}{998}

dV = 0.0130 m³

Therefore, the percentage change in volume will be

dV % = -\frac{dV}{V}  × 100

dV % = -\frac{0.0130}{500*10^{-3} }  × 100

dV % = 2.60 %

Hence, the percentage change in volume is 2.60%

Initial volume v1 = \frac{\pi }{4} *d^2*l(i)................3

Final volume v2 = \frac{\pi }{4} *d^2*l(f)................4

From equations 3 and 4, subtract v1 from v2.

v2 - v1 =  \frac{\pi }{4} *d^2*(l(f)-l(i))

dV = \frac{\pi }{4} *d^2*dl

Substituting all values yields

0.0130 = \frac{\pi }{4} *2^2*dl

Thus, dl = 0.004138 m.

Consequently, the water level rises by 4.138 mm.

8 0
1 month ago
1. Mark ‘N’ if a wrong type of units is used. Mark ‘Y’ otherwise. (1 point each)
pantera1 [306]

Response:

bsbsdbsd

Clarification:

7 0
1 month ago
A thermometer requires 1 minute to indicate 98% of the response to a unit step input. Assuming the thermometer to be a first ord
mote1985 [299]

Answer:

Time constant = 15.34 seconds

The thermometer indicates an error margin of 0.838°

Explanation:

Given

t = 1 minute = 60 seconds

c(t) = 98% = 0.98

According to the details provided, the thermometer functions as a first-order system.

The transfer function of such a system is expressed as;

C(s)/R(s) = 1/(sT + 1).

To determine the time constant, the step response must be evaluated.

This is defined as

r(t) = u(t) --- Applying Laplace Transformation

R(s) = 1/s

Replacing 1/s back into C(s)/R(s) = 1/(sT + 1).

What we have

C(s)/1/s = 1/(sT + 1)

C(s) = 1/(sT + 1) * 1/s

C(s) = 1/s - 1/(s + 1/T) --- Taking Inverse Laplace Transformation

L^-1(C(s)) = L^-1(1/s - 1/(s + 1/T))

Given that e^-t <–> 1/(s + 1) --- {L}

1 <–> 1/s {L}

Thus, the unit response c(t) = 1 - e^-(t/T)

Substituting 0.98 for c(t) and 60 for t

0.98 = 1 - e^-(60/T)

0.98 - 1 = - e^-(60/T)

-0.02 = - e^-(60/T)

e^-(60/T) = 0.02

ln(e^-(60/T)) = ln(0.02)

-60/T = -3.912

T = -60/-3.912

T = 15.34 seconds

It follows that the time constant = 15.34 seconds

The error signal is characterized by

E(s) = R(s) - C(s)

Where the temperature shifts at 10°/min; which equals 10°/60 s = 1/6

Thus,

E(s) = R(s) - 1/6 C(s)

Calculating C(s)

C(s) = 1/s - 1/(s + 1/T)

C(s) = 1/s - 1/(s + 1/15.34)

Note that R(s) = 1/s

Thus, E(s) turns into

E(s) = 1/s - 1/6(1/s - 1/(s + 1/15.34))

E(s) = 1/s - 1/6(1/s - 1/(s + 0.0652)

E(s) = 1/s - 1/6s + 1/(6(s+0.0652))

E(s) = 5/6s + 1/(6(s+0.0652))

E(s) = 0.833/s + 1/(6(s+0.0652)) ---- Taking Inverse Laplace Transformation

e(t) = 1/6e^-0.652t + 0.833

In a first-order system, a steady state condition is reached when the time is four times the time constant.

Thus,

Time = 4 * 15.34

Time = 61.36 seconds

Consequently, e(t) becomes

e(t) = 1/6e^-0.652t + 0.833

e(t) = 1/(6e^-0.652(61.36)) + 0.833

e(t) = 0.83821342824942664566211

e(t) = 0.838 --- Rounded off

Thus, the thermometer reveals an error of 0.838°

4 0
29 days ago
Read 2 more answers
A spherical hot-air balloon is initially filled with air at 120 kPa and 20°C with an initial diameter of 5 m. Air enters this ba
mote1985 [299]

Answer:

The duration is 17.43 minutes.

Explanation:

Based on the provided information, the initial diameter is 5 m

the velocity is 3 m/s

and the final diameter is 17 m.

To find the solution, we will use the volume change equation expressed as

ΔV = \frac{4}{3} \pi * (rf)^3 - \frac{4}{3} \pi * (ri)^3.............1

where ΔV represents the change in volume, rf is the final radius, and ri is the initial radius.

Calculating ΔV yields

ΔV = \frac{4}{3} \pi * (8.5)^3 - \frac{4}{3} \pi * (2.5)^3

ΔV = 2507 m³.

Thus,

Q = velocity × Area

Q = 3 × π ×(0.5)² = 2.356 m³/s.

Next, the change in time can be expressed as

Δt = \frac{\Delta V}{Q}

Δt = \frac{2507}{2.356}

Δt = 1046 seconds.

Therefore, the total change in time amounts to 17.43 minutes.

8 0
1 month ago
Other questions:
  • A shopaholic has to buy a pair of jeans , a pair of shoes l,a skirt and a top with budgeted dollar.Given the quantity of each pr
    7·1 answer
  • The first step to merging is entering the ramp and _____.
    10·1 answer
  • An AM radio transmitter operating at 3.9 MHz is modulated by frequencies up to 4 kHz. What are the maximum upper and lower side
    12·1 answer
  • 6. You are evaluating flow through an airway. The current flow rate is 10 liters per minute with a fixed driving pressure (P1) o
    5·1 answer
  • Radioactive wastes are temporarily stored in a spherical container, the center of which is buried a distance of 10 m below the e
    13·1 answer
  • 1. A four-lane freeway (two lanes in each direction) is located on rolling terrain and has 12-ft lanes, no lateral obstructions
    7·1 answer
  • A piston–cylinder assembly contains propane, initially at 27°C, 1 bar, and a volume of 0.2 m3. The propane undergoes a process t
    6·1 answer
  • 11 Notează, în caiet, trăsăturile personajelor ce se pot
    13·1 answer
  • An inventor claims to have devised a cyclical engine for use in space vehicles that operates with a nuclear fuel generated energ
    14·1 answer
  • A distância entre duas retas reversas é a medida de um segmento orientado que *?
    6·1 answer
Add answer
Login
Not registered? Fast signup
Signup
Login Signup
Ask question!