answer.
Ask question
Login Signup
Ask question
All categories
  • English
  • Mathematics
  • Social Studies
  • Business
  • History
  • Health
  • Geography
  • Biology
  • Physics
  • Chemistry
  • Computers and Technology
  • Arts
  • World Languages
  • Spanish
  • French
  • German
  • Advanced Placement (AP)
  • SAT
  • Medicine
  • Law
  • Engineering
jek_recluse
15 days ago
12

A particle leaves the origin with an initial velocity v⃗ =(2.40 m/s)xˆv→=(2.40 m/s)x^ , and moves with constant acceleration a⃗

=(−1.90 m/s2)xˆ+(3.20 m/s2)yˆa→=(−1.90 m/s2)x^+(3.20 m/s2)y^ . (a) How far does the particle move in the x direction before turning around? (b) What is the particle’s velocity at this time? (c) Plot the particle’s position at t=0.500 st=0.500 s , 1.00 s, 1.50 s, and 2.00 s. Use these results to sketch position versus time for the particle.

Physics
1 answer:
Maru [3.3K]15 days ago
7 0

Answer:

The distance before stopping is 1.52 m,

velocity is 4.0 m/s on the y-axis

Explanation:

The particle’s motion is two-dimensional due to acceleration along both the x and y axes; each axis can be addressed independently for calculations.

a) At the moment the particle starts to reverse, its velocity should be zero (Vfx = 0)

     Vfₓ = V₀ₓ + aₓ t  

     t = -  V₀ₓ/aₓ

     t = - 2.4/(-1.9)

     t=  1.26 s

When the particle stops, we calculate its position

     X1 = V₀ₓ t + ½ aₓ t²

     X1= 2.4 1.26 + ½ (-1.9) 1.26²

     X1= 1.52 m

At this point, the particle begins returning.

b) The velocity comprises both x and y components.

   For the x section, Vₓ = 0 m/s indicates a halt, but the y component retains a velocity

    Vfy= Voy + ay t

    Vfy= 0 + 3.2 1.26

    Vfy = 4.0 m/s

Thus, the velocity reads as

    V = (0 x^ + 4.0 y^) m/s

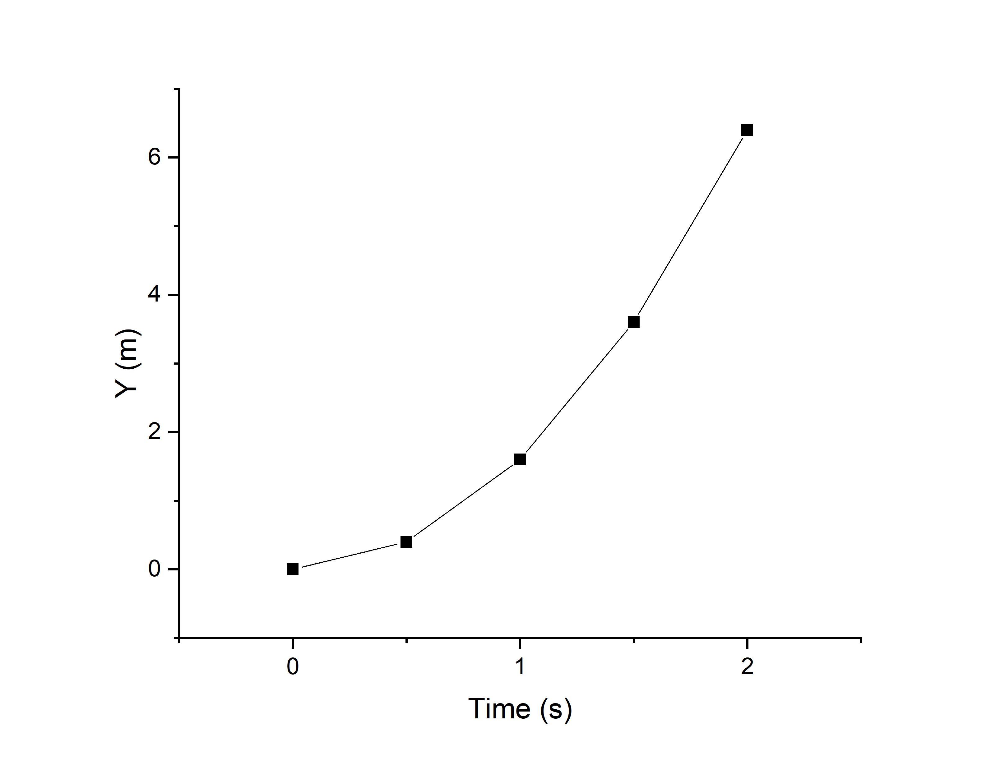
c) To graph the motion, we create a table listing position x and y at given time intervals; let's begin the calculations for equations

      X = V₀ₓ t+ ½  aₓ t²

      Y = Voy t + ½  ay t²

      X= 2.4 t + ½ (-1.9) t²

      Y= 0 + ½ 3.2 t²

      X= 2.4 t – 0.95 t²

      Y=   1.6 t²

With these equations, we construct two graphs for position against time, one for the x-axis and another for the y-axis

                       Chart for graphing

              Time (s)     x(m)            y(m)

                 0                0               0

                 0.5             0.960       0.4

          1       1.45          1.6

                 1.50      1.46      3.6

                2.00      1.00      6.4

You might be interested in
A large crate sits on the floor of a warehouse. Paul and Bob apply constant horizontal forces to the crate. The force applied by
kicyunya [3294]

Answer:

W = -510.98 J

Explanation:

Force = 43 N, 61° SW

Displacement = 12 m, 22° NE

The work done is calculated using:

W = F*d*cos(A)

where A is the angle between the applied force and displacement.

The angle A between the force and displacement is determined as A = 61 + 90 + 22 = 172°

Hence, W = 43 * 12 * cos(172)

This results in W = -510.98 J

The negative result indicates that the work is done contrary to the direction of the force applied.

6 0
1 month ago
A 7.5 kg cannon ball leaves a canon with a speed of 185 m/s. Find the average net force applied to the ball if the cannon muzzle
Keith_Richards [3271]

To determine the average net force, we can calculate acceleration using:

x = 0.5*a*t^2

v = a*t

where x=3.6m and v=185 m/s.

Thus,

t=v/a and therefore x = 0.5*a*(v/a)^2 = 0.5 * (v^2)/a

which gives us a= (0.5*v^2)/x

Since we have the known values of v and x, we can compute a by substituting these numbers.

The average net force is then given as:

F = m*a,

with m=7.5kg.


5 0
1 month ago
On its own, a certain tow-truck has a maximum acceleration of 3.0 m/s2. what would be the maximum acceleration when this truck w
inna [3103]

Let us denote a_1=3 m/s^2 as the highest acceleration of the truck by itself. The force generated by the engine to propel the truck in this scenario is
F= ma_1
where m is the mass of the truck alone.

Upon attaching a bus that has double the mass of the truck, the total mass of the entire system (truck+bus) becomes (m+2m)=3m. In this situation, the force generated by the engine is
F=3m a_2
where a2 represents the new acceleration. 
Since the engine remains unchanged, the force generated stays the same, allowing us to set the force equations equal to each other:
m a_1 = 3 m a_2
and solving for a2 gives us:
a_2 = \frac{m a_1}{3 m}= \frac{a_1}{3}= \frac{3 m/s^2}{3}=1 m/s^2

5 0
1 month ago
Read 2 more answers
The amount of kinetic energy an object has depends on its mass and its speed. Rank the following sets of oranges and cantaloupes
Sav [3153]

mass₃<mass₁=mass₅<mass₂=mass₄

Explanation:

Data points:-

1. mass:  m      speed: v

2. mass: 4 m   speed: v

3. mass: 2 m   speed: ¼ v

4. mass: 4 m   speed: v

5. mass: 4 m   speed: ½ v

We know that the formula for Kinetic energy (KE) is ½ mv²

Where m represents the mass of the object

           v represents the object's velocity

<psubstituting the="" given="" values="" for="" mass="" and="" speed="" from="" previous="" data:="">

The KE of Body 1(mass₁) = ½*m*v²             = mv²/2

KE of Body 2(mass₂) = ½*4m*v²         = 2mv²

KE of Body 3(mass₃) = ½*2m*(1/4v)²  =  mv²/16

KE of Body 4(mass₄) = ½*4m*v ²        =  2mv ²

KE of Body 5(mass₅) = ½*4m*(1/2v)²  =   mv²/2

</psubstituting>
6 0
1 month ago
Two trains are headed towards each other on the same track unbeknownst to the engineers. One departs San Francisco. Its average
ValentinkaMS [3465]

Answer:

7.166 hours = 430 minutes.

Explanation:

As both trains are approaching each other on the same track, their relative speed is the sum of their individual speeds. Hence, the time until they intersect (and inevitably collide) is determined by how long it takes for speeds of 65 mph and 55 mph to cover the total distance of 860 miles. One train will cover part of the distance, while the other will cover the remainder. To calculate the required time, we can apply the formula:

1 hour ---> 120 miles

X ----> 860 miles; hence X = (860 miles * 1 hour)/120 miles = 43/6 hours = 7.16666 hours. To convert this into minutes, recall that 1 hour equals 60 minutes; therefore, 43/6 hours * 60 minutes/hour = 430 minutes.

7 0
1 month ago
Other questions:
  • Two students walk in the same direction along a straight path, at a constant speed one at 0.90 m/s and the other at 1.90 m/s. a.
    12·1 answer
  • Two parallel wires carry a current I in the same direction. Midway between these wires is a third wire, also parallel to the oth
    11·2 answers
  • Over a period of more than 30 years, albert klein of california drove 2.5 × 106 km in one automobile. consider two charges, q1 =
    5·1 answer
  • Smoking increases ____ levels in the blood, thus increasing the possibility of unwanted clotting.
    14·1 answer
  • (a) A 15.0 kg block is released from rest at point A in the figure below. The track is frictionless except for the portion betwe
    12·1 answer
  • The weight of a bucket is 186 N. The bucket is being raised by two ropes. The free-body diagram shows the forces acting on the b
    15·1 answer
  • a rectangular coil of 25 loops is suspended in a field of 0.20wb/m2.the plane of coil is parallel to the direction of the field
    7·1 answer
  • Suppose a rectangular piece of aluminum has a length D, and its square cross section has the dimensions W XW, where D (W x W) to
    11·1 answer
  • You are watching an archery tournament when you start wondering how fast an arrow is shot from the bow. Remembering your physics
    12·1 answer
  • A wind turbine with a rotor diameter of 40 m produces 90 kW of electrical power when the wind speed is 8 m/s. The density of air
    14·1 answer
Add answer
Login
Not registered? Fast signup
Signup
Login Signup
Ask question!