answer.
Ask question
Login Signup
Ask question
All categories
  • English
  • Mathematics
  • Social Studies
  • Business
  • History
  • Health
  • Geography
  • Biology
  • Physics
  • Chemistry
  • Computers and Technology
  • Arts
  • World Languages
  • Spanish
  • French
  • German
  • Advanced Placement (AP)
  • SAT
  • Medicine
  • Law
  • Engineering
aniked
10 days ago
12

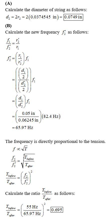
On a guitar, the lowest toned string is usually strung to the E note, which produces sound at 82.4 82.4 Hz. The diameter of E gu

itar strings is typically 0.0500 0.0500 in and the scale length between the bridge and nut (the effective length of the string) is 25.5 25.5 in. Various musical acts tune their E strings down to produce a "heavier" sound or to better fit the vocal range of the singer. As a guitarist you want to detune the E on your guitar to A# ( 58.3 58.3 Hz). If you were to maintain the same tension in the string as with the E string, what diameter of string would you need to purchase to produce the desired note? Assume all strings available to you are made of the same material.

Physics
1 answer:
Softa [913]10 days ago
8 0

The entire and thorough solution is included.

You might be interested in
Two planets having equal masses are in circular orbit around a star. Planet A has a smaller orbital radius than planet B. Which
serg [1198]

Answer:

Explanation:

To approach this problem, we need to understand two key concepts.

First, the gravitational force on an object in orbit equals its mass multiplied by centripetal acceleration.

Secondly, Newton's law of universal gravitation defines the force between two masses: Fg = mMG/r², where Fg denotes gravitational force, m and M signify the masses, G represents the gravitational constant, and r indicates the distance separating the two masses.

Thus:

Fg = m v²/r

mMG/r² = m v²/r

v² = MG/r

Potential energy for each planet is expressed as:

PE = mgr = m (MG/r²) r = mMG/r

Kinetic energy for each planet is computed as:

KE = 1/2 mv² = 1/2 m (MG/r) = 1/2 mMG/r

Total mechanical energy is calculated as:

ME = PE + KE = 3/2 mMG/r

Since both planets share the same mass, the only variable is their orbital radius. Consequently, Planet A, with a smaller radius, possesses greater potential, kinetic, and mechanical energy.

6 0
13 days ago
a fixed mass of a n ideal gas is heated from 50 to 80C at a constant pressure at 1 atm and again at a constant pressure of 3 atm
inna [987]

Answer:

The required energy remains identical in both scenarios since the specific heat capacity (Cp) does not change with varying pressure.

Explanation:

Given;

initial temperature, t₁ = 50 °C

final temperature, t₂ = 80 °C

Temperature change, ΔT = 80 °C - 50 °C = 30 °C

Pressure for scenario one = 1 atm

Pressure for scenario two = 3 atm

The energy needed in both scenarios is expressed as;

Q = M*C_p*\delta T

Where;

Cp denotes specific heat capacity, which only varies with temperature and remains unaffected by pressure.

Hence, the energy required remains the same for both scenarios since specific heat capacity (Cp) is pressure-independent.

8 0
9 days ago
Use the formula t = (0.25) s1/2 to find the time t in seconds it will take a stone to drop a distance s of 200 feet. Round your
inna [987]

Answer:

The duration, t = 3.53 seconds

Explanation:

The following information is provided:

The equation to calculate the time t is expressed as:

t=(0.25)s^{1/2}...... (1)

Where

s denotes the distance in feet

We are to determine the duration taken by the stone to fall a distance of 200 feet, where s = 200 feet

Substituting the value of s into equation (1) yields:

t=(0.25)\times (200)^{1/2}

t = 3.53 seconds

Thus, the time taken by the object is 3.53 seconds, which provides the required answer.

4 0
4 days ago
One consequence of Einstein's theory of special relativity is that mass is a form of energy. This mass-energy relationship is pe
ValentinkaMS [1149]

Answer:

The energy unit is expressed as kg-m/s or Joules.

Explanation:

The relationship between mass and energy in physics is represented by:

E=mc^2

Where

m denotes the mass of the object

c signifies the speed of light

In the SI system, mass is measured in kilograms and the speed of light in m/s. Therefore, energy is defined in kg-m/s, which is equal to Joules.

Thus, the appropriate SI unit for energy is kg-m/s or Joules. This concludes the explanation.

6 0
8 days ago
Read 2 more answers
A bus slows down uniformly from 75.0 km/h to 0 km/h in 21 s. How far does it travel before stopping?
Yuliya22 [1153]

1 hour = 3,600 seconds
1 km = 1,000 meters

75 km/hour = (75,000/3,600) m/s = 20-5/6 m/s

The mean speed during the deceleration is

                                   (1/2)(20-5/6 + 0) = 10-5/12 m/s.

Traveling at this average speed for 21 seconds,
the bus covers

                        (10-5/12) × (21) = 218.75 meters.

7 0
15 days ago
Read 2 more answers
Other questions:
  • A cart moves along a track at a velocity of 3.5 cm/s. when a force is applied to the cart, its velocity increases to 8.2 cm/s. i
    15·2 answers
  • Assume that you stay on the earth's surface. what is the ratio of the sun's gravitational force on you to the earth's gravitatio
    15·2 answers
  • A hydraulic lift raises a 2000 kg automobile when a 500 N force is applied to the smaller piston. If the smaller piston has an a
    8·1 answer
  • You and your friend Peter are putting new shingles on a roof pitched at 20degrees . You're sitting on the very top of the roof w
    5·1 answer
  • Write a hypothesis about the effects of magnetic and electric fields. Use the format of "if . . . then . . . because . . ." and
    8·2 answers
  • A 620-g object traveling at 2.1 m/s collides head-on with a 320-g object traveling in the opposite direction at 3.8 m/s. If the
    8·2 answers
  • A proton starts from rest and gains 8.35 x 10^-14 joule of kinetic energy as it accelerates between points A and B in an electri
    14·2 answers
  • In which applications are sound waves reflected? Check all that apply.
    7·2 answers
  • A person travels distance πR along the circumference
    6·2 answers
  • Peregrine falcons are known for their maneuvering ability. In a tight circular turn, a falcon can attain a centripetal accelerat
    13·1 answer
Add answer
Login
Not registered? Fast signup
Signup
Login Signup
Ask question!