answer.
Ask question
Login Signup
Ask question
All categories
  • English
  • Mathematics
  • Social Studies
  • Business
  • History
  • Health
  • Geography
  • Biology
  • Physics
  • Chemistry
  • Computers and Technology
  • Arts
  • World Languages
  • Spanish
  • French
  • German
  • Advanced Placement (AP)
  • SAT
  • Medicine
  • Law
  • Engineering
stepladder
1 month ago
7

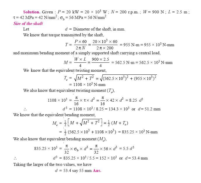
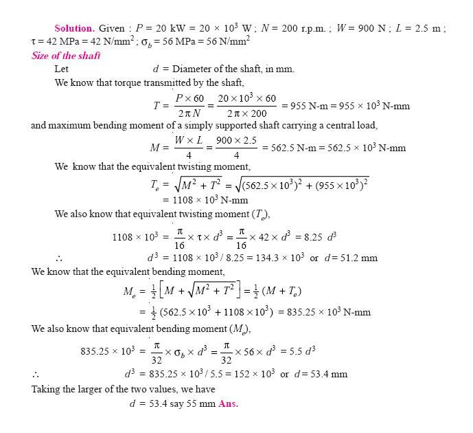
. A line shaft rotating at 200 r.p.m. is to transmit 20 kW. The allowable shear stress for the material of the shaft is 42 MPa.

If the shaft carries a central load of 900 N and is simply supported between bearing 3 metre apart, determine the diameter of the shaft. The maximum tensile or compressive stress is not to exceed 56 MPa.

Engineering
1 answer:
Daniel [317]1 month ago
7 0

Answer:

Shaft diameter ranges between 53.4 mm and 55 mm.

Explanation:

You might be interested in
A 50 Hz, four pole turbo-generator rated 100 MVA, 11 kV has an inertia constant of 8.0 MJ/MVA. (a) Find the stored energy in the
Mrrafil [305]

Given Information:

Frequency = f = 60 Hz

Complex rated power = G = 100 MVA

Inertia constant = H = 8 MJ/MVA

Mechanical power = Pmech = 80 MW

Electrical power = Pelec = 50 MW

Number of poles = P = 4

No. of cycles = 10

Required Information:

(a) stored energy =?

(b) rotor acceleration =?

(c) change in torque angle =?

(c) rotor speed =?

Answer:

(a) stored energy = 800 Mj

(b) rotor acceleration = 337.46 elec deg/s²

(c) change in torque angle (in elec deg) = 6.75 elec deg

(c) change in torque angle (in rmp/s) = 28.12 rpm/s

(c) rotor speed = 1505.62 rpm

Explanation:

(a) Calculate the rotor's stored energy at synchronous speed.

The stored energy is represented as

E = G \times H

Where G stands for complex rated power and H signifies the inertia constant of the turbo-generator.

E = 100 \times 8 \\\\E = 800 \: MJ

(b) If we suddenly increase the mechanical input to 80 MW against an electrical load of 50 MW, we shall find the rotor's acceleration while ignoring mechanical and electrical losses.

The formula for rotor acceleration is given by

$ P_a = P_{mech} - P_{elec} = M \frac{d^2 \delta}{dt^2} $

Where M is defined as

$ M = \frac{E}{180 \times f} $

$ M = \frac{800}{180 \times 50} $

M = 0.0889 \: MJ \cdot s/ elec \: \: deg

$ P_a = 80 - 50 = 0.0889 \frac{d^2 \delta}{dt^2} $

$ 30 = 0.0889 \frac{d^2 \delta}{dt^2} $

$ \frac{d^2 \delta}{dt^2} = \frac{30}{0.0889} $

$ \frac{d^2 \delta}{dt^2} = 337.46 \:\: elec \: deg/s^2 $

(c) If the acceleration derived in part (b) persists over 10 cycles, we will calculate both the change in torque angle and the rotor speed in revolutions per minute at the end of this duration.

The change in torque angle is expressed as

$ \Delta \delta = \frac{1}{2} \cdot \frac{d^2 \delta}{dt^2}\cdot (t)^2 $

Where t is determined from

1 \: cycle = 1/f = 1/50 \\\\10 \: cycles = 10/50 = 0.2 \\\\t = 0.2 \: sec

Consequently,

$ \Delta \delta = \frac{1}{2} \cdot 337.46 \cdot (0.2)^2 $

$ \Delta \delta = 6.75 \: elec \: deg

The change in torque in rpm/s is provided by

$ \Delta \delta = \frac{337.46 \cdot 60}{2 \cdot 360\circ } $

$ \Delta \delta =28.12 \: \: rpm/s $

The rotor speed in rpm at the culmination of this 10-cycle period is calculated as

$ Rotor \: speed = \frac{120 \cdot f}{P} + (\Delta \delta)\cdot t $

Where P indicates the number of poles on the turbo-generator.

$ Rotor \: speed = \frac{120 \cdot 50}{4} + (28.12)\cdot 0.2 $

$ Rotor \: speed = 1500 + 5.62 $

$ Rotor \: speed = 1505.62 \:\: rpm

4 0
1 month ago
Water flows steadily through a horizontal nozzle, discharging to the atmosphere. At the nozzle inlet the diameter is D1; at the
mote1985 [299]
The inlet gauge pressure must be 61.627 Psi.
4 0
16 days ago
Six years ago, an 80-kW diesel electric set cost $160,000. The cost index for this class of equipment six years ago was 187 and
grin007 [314]

Answer:

total expense for the new boiler = $229706.825

total expense for new boiler = $127512

Explanation:

provided information

initial power p1 = 80 kW

price C = $160000

cost index CI 1 = 187

cost index CI 2= 194

capacity factor f = 0.6

subsequent power p2 = 120 kW

present cost = $18000

to determine

total expense and cost for 40 kW

solution

we evaluate CN cost for the new boiler and CO cost for the existing boiler

where x represents the capacity of the new boiler

first we compute the current cost of the old boiler which is

current cost CO = C × \frac{CI 1 }{CI 2 }.............1

substituting the value here

current cost = 160000 × \frac{194 }{187 }

updated current cost = $165989.304

and

employing power sizing strategy for 124 kW

CN/CO = (\frac{p2}{p1} )^{f}...............2

insert value and calculate CN

CN/CO = (\frac{p2}{p1} )^{f}  

CN / 165989.304 = (\frac{120}{80} )^{0.6}  

CN = 211706.825

therefore the new expense = $211706.825

hence

total expense for the new boiler amounts to

total expense = new expense + current cost

total exp = 211706.825 + 18000

boiler expense total = $229706.825

and

concerning a 40 kW unit, the calculated new cost will be

applying equation 2

CN/CO = (\frac{p2}{p1} )^{f}

CN / 165989.304 = (\frac{40}{80} )^{0.6}  

CN = 109512

thus the new cost is $109512

therefore

total expense for the new boiler is

total exp = new cost + current cost

total expense = 109512 + 18000

total cost for the new boiler = $127512

7 0
27 days ago
A spherical hot-air balloon is initially filled with air at 120 kPa and 20°C with an initial diameter of 5 m. Air enters this ba
mote1985 [299]

Answer:

The duration is 17.43 minutes.

Explanation:

Based on the provided information, the initial diameter is 5 m

the velocity is 3 m/s

and the final diameter is 17 m.

To find the solution, we will use the volume change equation expressed as

ΔV = \frac{4}{3} \pi * (rf)^3 - \frac{4}{3} \pi * (ri)^3.............1

where ΔV represents the change in volume, rf is the final radius, and ri is the initial radius.

Calculating ΔV yields

ΔV = \frac{4}{3} \pi * (8.5)^3 - \frac{4}{3} \pi * (2.5)^3

ΔV = 2507 m³.

Thus,

Q = velocity × Area

Q = 3 × π ×(0.5)² = 2.356 m³/s.

Next, the change in time can be expressed as

Δt = \frac{\Delta V}{Q}

Δt = \frac{2507}{2.356}

Δt = 1046 seconds.

Therefore, the total change in time amounts to 17.43 minutes.

8 0
1 month ago
Your driver license will be _____ if you race another driver on a public road, commit a felony using a motor vehicle, or are fou
iogann1982 [357]

Hello there,

In this scenario, the driver's license has been both confiscated and suspended.

Therefore, the answer is: A)

Achievements.

6 0
1 month ago
Read 2 more answers
Other questions:
  • Given num_rows and num_cols, print a list of all seats in a theater. Rows are numbered, columns lettered, as in 1A or 3E. Print
    14·1 answer
  • A fireboat is to fight fires at coastal areas by drawing seawater with a density of 1030 kg/m through a 20-cm-diameter pipe at a
    13·1 answer
  • 3.24 Program: Drawing a half arrow (Java) This program outputs a downwards facing arrow composed of a rectangle and a right tria
    12·1 answer
  • A long, circular aluminum rod is attached at one end to a heated wall and transfers heat by convection to a cold fluid.
    12·1 answer
  • A tank contains initially 2500 liters of 50% solution. Water enters the tank at the rate of 25 iters per minute and the solution
    13·1 answer
  • 1. A glass window of width W = 1 m and height H = 2 m is 5 mm thick and has a thermal conductivity of kg = 1.4 W/m*K. If the inn
    8·1 answer
  • A pipe in a district heating network is transporting over-pressurized hot water (10 atm) at a mass flow of 0.5 kg/s. The pipe is
    14·1 answer
  • Consider a rectangular fin that is used to cool a motorcycle engine. The fin is 0.15m long and at a temperature of 250C, while t
    5·1 answer
  • A well-insulated rigid tank contains 1.5 kg of a saturated liquid–vapor mixture of water at 200 kPa. Initially, three-quarters o
    10·2 answers
  • A cylinder in space is of uniform temperature and dissipates 100 Watts. The cylinder diameter is 3" and its height is 12". Assum
    15·1 answer
Add answer
Login
Not registered? Fast signup
Signup
Login Signup
Ask question!