answer.
Ask question
Login Signup
Ask question
All categories
  • English
  • Mathematics
  • Social Studies
  • Business
  • History
  • Health
  • Geography
  • Biology
  • Physics
  • Chemistry
  • Computers and Technology
  • Arts
  • World Languages
  • Spanish
  • French
  • German
  • Advanced Placement (AP)
  • SAT
  • Medicine
  • Law
  • Engineering
olasank
2 months ago
10

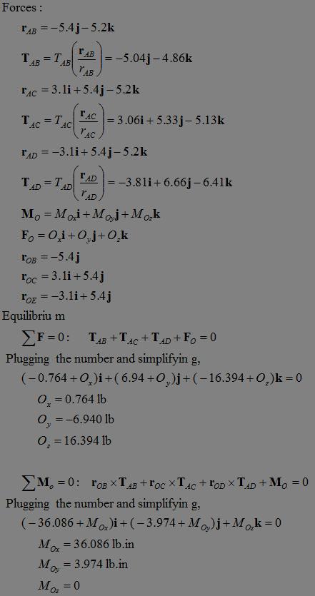
The young tree was bent and has been brought into a vertical position by the three guy cables. If tension at AB = 0, AC = 10 lb,

and AD = 15 lb. determine the force and moment acting at the trunk base point o. neglect the weight of the tree.

Physics
1 answer:
Keith_Richards [3.2K]2 months ago
3 0

Answer:

The initially bent young tree has been straightened by adjusting the tensions of the three guy wires to AB = 7 lb, AC = 8 lb, and AD = 10 lb. Please calculate the force and moment reactions at the trunk's base point O, disregarding the weight of the tree.

C and D are situated 3.1' from the y-axis, while B and C are located 5.4' from the x-axis, and A has a height of 5.2'.

Explanation:

Refer to the attached image.

You might be interested in
A helicopter starting on the ground is rising directly into the air at a rate of 25 ft/s. You are running on the ground starting
serg [3582]

Response:

The speed at which the distance from the helicopter to you is changing (in ft/s) after 5 seconds is \sqrt{725} ft/ sec

Clarification:

Provided:

h(t) = 25 ft/sec

x(t) = 10 ft/ sec

h(5) = 25 ft/sec. 5 = 125 ft

x(5) = 10 ft/sec. 5 = 50 ft

At this point, we can determine the distance between the individual and the helicopter utilizing the Pythagorean theorem

D(t) = \sqrt{h^2 + x^2}

Now, let's calculate the derivative of distance in relation to time

\frac{dD}{dt} (t) = \frac{2h \cdot \frac{dh}{dt} +2x \cdot\frac{dx}{dt}} {2\sqrt{h^2 + x^2}}

By plugging in the values for h(t) and x(t) and simplifying, we arrive at,

\frac{dD}{dt}(t) = \frac{50t \cdot \frac{dh}{dt} + 20 \cdot \frac{dx}dt}{2\sqrt{625\cdot t^2 + 100 \cdot t^2}}

\frac{dh}{dt} = 25ft/sec

\frac{dx}{dt} = 10 ft/sec

\frac{Dd}{dt} (t) = \frac{1250t +200t}{2\sqrt{725}t} = \frac{725}{\sqrt{725}} = \sqrt{725} ft / sec

5 0
1 month ago
A rare and valuable antique chest is being moved into a truck using a 4.00 m long ramp. the kj weight of the chest plus packing
ValentinkaMS [3465]

We start by finding the angle of inclination with the sine function,

sin θ = 1 m / 4 m

θ = 14.48°

 

Next, we compute the work done by the movers using the following formula:

W = Fnet * d

 

We need to first determine Fnet. It is the weight force minus the frictional force.

Fnet = m g sinθ – μ m g cosθ

Fnet = 1,500 sin14.48 – 0.2 * 1,500 * cos14.48

Fnet = 84.526 N

 

The work done is therefore:

W = 84.526 N * 4 m

<span>W = 338.10 J</span>

7 0
1 month ago
Which statements about inertia and centripetal force are correct? Check all that apply. Inertia is always present. Inertia cause
kicyunya [3294]
Inertia is universally present. It's important to note that inertia doesn't serve as the force keeping objects in circular paths; that role belongs to centripetal force, which is not always present. Centripetal force actively pulls objects towards the center of a circle. Both inertia and centripetal force contribute to the phenomenon of circular motion. Thank you, and enjoy your day;)
6 0
2 months ago
Read 2 more answers
A particle leaves the origin with an initial velocity v⃗ =(2.40 m/s)xˆv→=(2.40 m/s)x^ , and moves with constant acceleration a⃗
Maru [3345]

Answer:

The distance before stopping is 1.52 m,

velocity is 4.0 m/s on the y-axis

Explanation:

The particle’s motion is two-dimensional due to acceleration along both the x and y axes; each axis can be addressed independently for calculations.

a) At the moment the particle starts to reverse, its velocity should be zero (Vfx = 0)

     Vfₓ = V₀ₓ + aₓ t  

     t = -  V₀ₓ/aₓ

     t = - 2.4/(-1.9)

     t=  1.26 s

When the particle stops, we calculate its position

     X1 = V₀ₓ t + ½ aₓ t²

     X1= 2.4 1.26 + ½ (-1.9) 1.26²

     X1= 1.52 m

At this point, the particle begins returning.

b) The velocity comprises both x and y components.

   For the x section, Vₓ = 0 m/s indicates a halt, but the y component retains a velocity

    Vfy= Voy + ay t

    Vfy= 0 + 3.2 1.26

    Vfy = 4.0 m/s

Thus, the velocity reads as

    V = (0 x^ + 4.0 y^) m/s

c) To graph the motion, we create a table listing position x and y at given time intervals; let's begin the calculations for equations

      X = V₀ₓ t+ ½  aₓ t²

      Y = Voy t + ½  ay t²

      X= 2.4 t + ½ (-1.9) t²

      Y= 0 + ½ 3.2 t²

      X= 2.4 t – 0.95 t²

      Y=   1.6 t²

With these equations, we construct two graphs for position against time, one for the x-axis and another for the y-axis

                       Chart for graphing

              Time (s)     x(m)            y(m)

                 0                0               0

                 0.5             0.960       0.4

          1       1.45          1.6

                 1.50      1.46      3.6

                2.00      1.00      6.4

7 0
1 month ago
You are using a hydrogen discharge tube and high quality red and blue light filters as the light source for a Michelson interfer
Keith_Richards [3271]
Final displacement equals +24484.5 nm. The path difference observed with red light (λ1 = 656.3 nm) with 158 bright spots can be represented as: Δr = 2d2 - 2d1 = 150λ1, leading to the equation 2d2 - 2d1 = 150λ1. Dividing both sides results in: d2 - d1 = 75λ1 - - - - eq1, with d1 being the distance from the beam splitter to the fixed mirror, and d2 indicating the position of the movable mirror when 158 bright spots appear. Then, with 114 bright spots, the path difference is Δr = 2d'2 - 2d1 = 114λ1, simplifying to 2d'2 - 2d1 = 114λ1. Subsequent division gives: d'2 - d1 = 57λ1, where d'2 is the revised position of the movable mirror. The displacement of the movable mirror, (d2 - d'2), can be calculated by subtracting eq2 from eq1, leading to: d2 - d'2 = 75λ1 - 57λ2, with λ1 equal to 656.3 nm and λ2 equal to 434.0 nm. Finally, this gives d2 - d'2 = 75(656.3) - 57(434), resulting in +24484.5 nm.
5 0
1 month ago
Other questions:
  • -. What is the acceleration of 4 kg trolling bag pulled by a girl with a<br> force of 3 N?
    10·1 answer
  • In your own words, describe the three steps in ray tracing used to identify where an image forms.
    14·2 answers
  • In this problem you are to consider an adiabaticexpansion of an ideal diatomic gas, which means that the gas expands with no add
    6·1 answer
  • Use the formula t = (0.25) s1/2 to find the time t in seconds it will take a stone to drop a distance s of 200 feet. Round your
    5·1 answer
  • There is a distinction between average speed and the magnitude of average velocity. Give an example that illustrates the differe
    6·1 answer
  • A person travels distance πR along the circumference
    6·2 answers
  • Three point charges are positioned on the x axis. If the charges and corresponding positions are +32 µC at x = 0, +20 µC at x =
    11·1 answer
  • An airplane cruises at 850 km/h relative to the air. It is flying from Denver, Colorado, due west to Reno, Nevada, a distance of
    11·1 answer
  • The electric potential in a region that is within 2.00 mm of the origin of a rectangular coordinate system is given by V=Axl+Bym
    5·1 answer
  • During a workout at the gym, you set the treadmill at a pase of 55.0 m/min. How many minutes will you walk if you cover a distan
    7·2 answers
Add answer
Login
Not registered? Fast signup
Signup
Login Signup
Ask question!