answer.
Ask question
Login Signup
Ask question
All categories
  • English
  • Mathematics
  • Social Studies
  • Business
  • History
  • Health
  • Geography
  • Biology
  • Physics
  • Chemistry
  • Computers and Technology
  • Arts
  • World Languages
  • Spanish
  • French
  • German
  • Advanced Placement (AP)
  • SAT
  • Medicine
  • Law
  • Engineering
Alex_Xolod
2 days ago
5

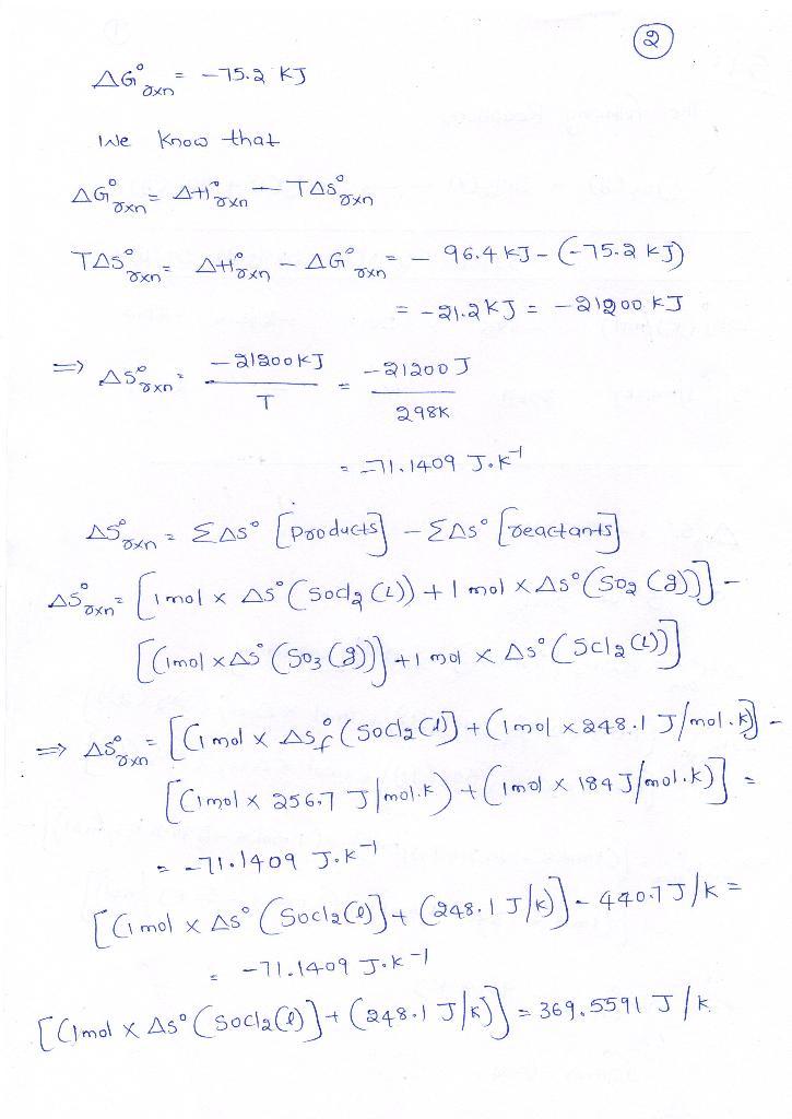
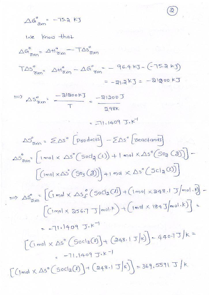
A) s o of socl2 (b) t at which the reaction becomes nonspontaneous so3(g) + scl2(l) → socl2(l) + so2(g) δg o rxn = −75.2 kj so3(

g) scl2(l) socl2(l) so2(g) δh o f (kj/mol) −396 −50.0 −245.6 −296.8 s o (j/mol · k) 256.7 184 − 248.1

Chemistry
1 answer:
VMariaS [2.6K]2 days ago
7 0

Answer:

ΔS° = 121kJ, T = 1335K

Explanation:

The reaction:

SO₃(g) + SCl₂=> SOCl₂(l) + SO₂(g)

parameters                                                                                                                    

                           SO₃(g)       SCl₂(l)       SOCl₂(l)          SO₂(g)

ΔH°f(kJ/mol)          -396           -50.0         -245.6          -296.8

S°(J/mol.k)            256.7          184               -                 248.1

ΔG°r = -75.2 kJ

a).

S° of SOCl₂

ΔH°rxn = ΔH°f[Product] - ΔH°f[reactant]

ΔH°rxn = [1 mole * ΔH°f(SOCl2(l)) + 1 mol * ΔH°f(SO2(g))] - [1 mol *ΔH°f(SO3(g)) + 1 mole ΔH°f(SCl2(l))]

ΔH°rxn = [1 mole * -245.6kJ/mol + 1 mol * -296.8kJ/mol] - [1 mol * -396kJ/mol + 1 mole * -50kJ/mol]

ΔH°rxn = -96.4 kJ

Refer to the attached file for further comprehensive analysis

You might be interested in
How many fluorine atoms are present in 5.85 g of c2f4?
eduard [2509]
The molar mass of C2F4 (tetrafluoroethylene) is 100 g/mol. To find the number of moles of C2F4 in the specified quantity,
n = (5.85 g) / (100 g/mol) = 0.0585 mols C2F4
The calculation for the number of molecules per mole is done via the equation,
(0.0585 mols) x (6.022 x 10^23)
Given that each molecule contains 4 F atoms, then,
(0.0585 mols) x (6.022 x 10^23)(4)
= 1.41 x 10^23 atoms of F
4 0
17 days ago
If Sara was planning a wedding and wanted to have a sculpture of a heart made of butter at the reception, describe how Sara coul
lions [2633]

Answer:

inspect the packaging

Explanation:

4 0
25 days ago
What salt is produced from mixing csoh and h2co3
Anarel [2593]

Answer:

The resulting salt is Cesium Carbonate

Explanation:

2CsOH + H2CO3 → Cs2CO3 + 2H2O

3 0
10 days ago
A 0.944 M solution of glucose, C6H12O6, in water has a density of 1.0624 g/mL at 20∘C. What is the concentration of this solutio
KiRa [2687]

Response:

Mole fraction: 0.0157.

Molality: 0.889m

Mass%: 16%

Clarification:

The measurement units are mole fraction, molality, and mass percentage.

Mole fraction is calculated using moles of glucose relative to the total moles present.

The glucose moles for 1L is:

0.944 moles.

The moles of water in 1L are:

1L × (1.0624kg/L) × (1000g / 1kg) × (1mol / 18.02g) = 59.0 moles of water

Mole fraction is given by: 0.944 moles / (59.0 mol + 0.944mol) = 0.0157

Molality is defined as moles of solute (0.944) per kilogram of solution (1.0624kg):0.944mol / 1.0624kg =

0.889m

For mass percentage, the total mass equals 1062.4g, and the mass of 0.944 moles of glucose is:

0.944mol×(180.156g/1mol) = 170g of glucose. Mass%:

170g / 1062.4g ×100 = 16%

I trust this information is useful!
6 0
7 days ago
Which of the following numerical expressions gives the number of particles in 2.0 g of Ne?
KiRa [2687]
To find the number of particles, use the formula: 2.0 g multiplied by (6.0 x 10^23 particles per mol) divided by 20.18 g/mol. Thus, Option C is accurate.
7 0
1 month ago
Other questions:
  • A galvanic (voltaic) cell contains a copper cathode immersed in a copper(ii) chloride solution and a nickel anode immersed in a
    13·1 answer
  • Determine the freezing point of a solution which contains 0.31 mol of sucrose in 175 g of water. kf = 1.86ï°c/m
    15·1 answer
  • How much volume (in cm3) is gained by a person who gains 11.1 lbs of pure fat?
    12·1 answer
  • A student collected the data shown in the table below during an experiment.
    7·2 answers
  • Miniature golf is a game in which players hit a golf ball with a club, which causes the ball to roll along the flat ground. Thre
    15·1 answer
  • Benzene, C6H6, reacts with oxygen, O2, to form CO2 and H2O. How much O2 is required for the complete combustion of 1.0 mol C6H6?
    6·2 answers
  • All faculty members are happy to see students help each other. Dumbledore is particularly pleased with Hermione. Though, it shou
    9·1 answer
  • Using this information together with the standard enthalpies of formation of O2(g), CO2(g), and H2O(l) from Appendix C, calculat
    12·1 answer
  • Consider the equilibrium reaction: 3CIO-(aq) ↔ CIO3-(aq) + 2CI-(aq) The equilibrium constant Kc = 3.2 x 103. The following conce
    5·1 answer
  • Is the aqueous solution of each of these salts acidic, basic, or neutral? (a) cr(no3)3 acidic basic neutral (b) nahs acidic basi
    9·2 answers
Add answer
Login
Not registered? Fast signup
Signup
Login Signup
Ask question!