Answer:
1/7 kg
Explanation:
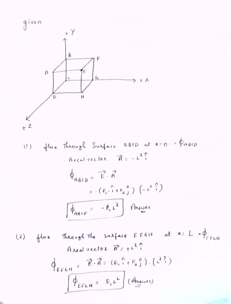
Refer to the attached diagram for enhanced clarity regarding the question.
One of the blocks weighs 1.0 kg and accelerates downward at 3/4g.
g denotes the acceleration due to gravity.
Let M represent the block with known mass, while 'm' signifies the mass of the other block and 'a' refers to the acceleration of body M.
Given M = 1.0 kg and a = 3/4g.
By applying Newton's second law; 
For the body with mass m;
T - mg = ma... (1)
For the body with mass M;
Mg - T = Ma... (2)
Combining equations 1 and 2 gives;
+Mg -mg = ma + Ma
Ma-Mg = -mg-ma
M(a-g) = -m(a+g)
Substituting M = 1.0 kg and a = 3/4g into this equation leads to;
3/4 g-g = -m(3/4 g+g)
3/4 g-g = -m(7/4 g)
-g/4 = -m(7/4 g)
1/4 = 7m/4
Multiplying gives: 28m = 4
m = 1/7 kg
Hence, the mass of the other box is 1/7 kg
1950 g This is the result of lead being spread out in kilograms
For motion in a circle.
Centripetal acceleration is calculated as mv²/r = mω²r
where v represents linear velocity, r equals radius which is diameter/2 equating to 1/2 or 0.5m
. Here, m is the mass of the object, which is 175g or 0.175kg.
The angular speed, ω, is derived from Angle covered / time
= 2 revolutions per 1 second
= 2 * 2π radians for each second
= 4π radians per second
Thus, Centripetal Acceleration = mω²r = 0.175*(4π)² * 0.5. Utilize a calculator
≈13.817 m/s²
. The acceleration's magnitude is approximately 13.817 m/s² and it is oriented towards the center of the circular path.
The tension in the string equates to m*a
= 0.175*13.817
= 2.418 N
Complete Question
An aluminum "12 gauge" wire measures a diameter of 0.205 centimeters. The resistivity ρ of aluminum is 2.75×10−8 ohm-meters. The electric field E in the wire varies over time as E(t)=0.0004t2−0.0001t+0.0004 newtons per coulomb, where time is recorded in seconds.
At time 5 seconds, I = 1.2 A.
We need to find the charge Q traveling through a cross-section of the conductor from time 0 to time 5 seconds.
Answer:
The charge is 
Explanation:
The question indicates that
The wire’s diameter is 
The radius of the wire is 
Aluminum's resistivity is 
The electric field variation is described as

The charge is effectively given by the equation

Where A is the area expressed as

Thus,

Therefore

By substituting values
![Q = 120 \int\limits^{t}_{0} { [ 0.0004t^2 - 0.0001t +0.0004] } \, dt](https://tex.z-dn.net/?f=Q%20%3D%20120%20%5Cint%5Climits%5E%7Bt%7D_%7B0%7D%20%7B%20%5B%200.0004t%5E2%20-%200.0001t%20%2B0.0004%5D%20%7D%20%5C%2C%20dt)
![Q = 120 [ \frac{0.0004t^3 }{3} - \frac{0.0001 t^2}{2} +0.0004t] } \left | t} \atop {0}} \right.](https://tex.z-dn.net/?f=Q%20%3D%20120%20%5B%20%5Cfrac%7B0.0004t%5E3%20%7D%7B3%7D%20-%20%5Cfrac%7B0.0001%20t%5E2%7D%7B2%7D%20%2B0.0004t%5D%20%7D%20%20%5Cleft%20%7C%20t%7D%20%5Catop%20%7B0%7D%7D%20%5Cright.)
The question states that t = 5 seconds
![Q = 120 [ \frac{0.0004t^3 }{3} - \frac{0.0001 t^2}{2} +0.0004t] } \left | 5} \atop {0}} \right.](https://tex.z-dn.net/?f=Q%20%3D%20120%20%5B%20%5Cfrac%7B0.0004t%5E3%20%7D%7B3%7D%20-%20%5Cfrac%7B0.0001%20t%5E2%7D%7B2%7D%20%2B0.0004t%5D%20%7D%20%20%5Cleft%20%7C%205%7D%20%5Catop%20%7B0%7D%7D%20%5Cright.)
![Q = 120 [ \frac{0.0004(5)^3 }{3} - \frac{0.0001 (5)^2}{2} +0.0004(5)] }](https://tex.z-dn.net/?f=Q%20%3D%20120%20%5B%20%5Cfrac%7B0.0004%285%29%5E3%20%7D%7B3%7D%20-%20%5Cfrac%7B0.0001%20%285%29%5E2%7D%7B2%7D%20%2B0.0004%285%29%5D%20%7D)

275 kPa Explanation: Here the mass of the gas equals m=1.5 kg with an initial volume of V₁=0.04 m³ and an initial pressure P₁=550 kPa. As provided, the final volume is double the original volume, making V₂ equal to 2 V₁. Since the temperature remains constant, T₁=T₂=T. By substituting the values into the equation... results in final pressure being P₂=275 kPa.